Abstract
Background: Allogeneic stem cell transplantation (Allo-HSCT) is the only salvage option offering long-term survival opportunity for high-risk AML patients, as those patients respond insufficiently to chemotherapy. However, the overall survival (OS) rate after allo-HSCT is still frustrating. Great efforts have been made in improving the conditioning regimen, such as introducing two alkylating agent, busulfan (Bu) and Melphalan (Mel) to enhance the anti-leukemia efficacy. But high non-relapse mortality (NRM) is reported. In this study, we made refinements in the conditioning regimen with two alkylating agents, namely MCBC (the combination of melphalan, cladribine, busulfan, and cyclophosphamide). We aim to investigate the efficacy and safety of MCBC conditioning regimen for allo-HSCT in refractory/relapsed (R/R) and minimal residual disease (MRD) persistent positive AML patients.
Methods: This prospective multi-center clinical trial enrolled R/R AML or AML with MRDpersistentpositivity, who underwent allo-HSCT from July 2020 to May 2022 (ChiCTR Registration ID: ChiCTR2000029936). The MCBC conditioning regimen consists of melphalan 60mg/m2/d, day -9~-8, cladribine 5mg/m2/d, day -7~-5, busulfan 3.2mg/kg/d, day -5~-3, cyclophosphamide 30mg/kg/d, day -2~-1. A post-transplantation maintenance therapy was provided whenever possible, including azacytidine, venetoclax, or FLT3 inhibitors.
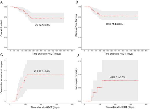
Results and Discussion: This study included a total 75 AML patients (65 R/R AML and 10 MRD+AML), with median age 37 years (ranged 13-56 years). More than half of patients (40/75) were evaluated as non-remission (NR), including 13 patients with leukemia blast over 20% or active extramedullary disease pre-HSCT. Haplo-identical-donor HSCT (HID-HSCT) was the predominance HSCT type (n=51, 68%). Mucositis was the main reported regimen-related toxicity, mostly were mild and well tolerated. No graft failure was documented. It is inspiring that all patients achieved hematology complete remission (CR) (100%) and 89.3% achieved MRD clearance on reconstitution day, indicating profound anti-leukemia capacity of MCBC regimen. The incidence of severe acute GVHD was 9.3%. With a median follow-up of 232(30-695)days, the estimated one-year overall survival (OS), relapse-free survival (RFS) and NRM of all patients were 72.1±6.3%, 71.4±6.0% and 7.1±3.5% respectively. Notably, patients with persistent MRD positivity obtained 100% OS and RFS. There were 13 patients in R/R AML group relapsed after HSCT, with a median time from HSCT to relapse was 120(75-218) days. The one-year cumulative incidence of relapse was 22.6±5.6%. Univariate analysis using by Kaplan-Meier method was performed. It indicated high blast burden (blast≥20%) pre-HSCT and absence of opportune maintenance therapy post HSCT were two independent risk factors with clinical significance. Competitive risk modal analysis for multivariate analysis also confirms the results.
Conclusion: The preliminary data demonstrated profound anti-leukemic capacity and well acceptable toxicity of MCBC regimen for R/R or MRD persistent positive AML. Furthermore, for patients with high leukemia blast burden, opportune maintenance treatment led to significant improved OS and RFS.
Figure Legend:
Survival outcomes of patients enrolled. Kaplan-Meier curves for Overall survival (A), Disease-free survival (B), Cumulative relapse rate(C) and Non-relapse mortality(D) of patients receiving MCBC conditioning regimen after allo-HSCT.
Disclosures
No relevant conflicts of interest to declare.
Author notes
Asterisk with author names denotes non-ASH members.
This feature is available to Subscribers Only
Sign In or Create an Account Close Modal